明察尘埃和恒星形成之关系
宇宙中,恒星之间、星系之间不乏尘埃,尘埃由微米级颗粒组成。虽然它在星系中的质量几乎不足星系总质量的百分之一,但是因为它对光的散射和吸收,星系观测到的样子受到巨大的影响。尘埃源于恒星,又会促进下一代恒星形成,与恒星形成的基本过程有关,因此尘埃对于星系演化的研究至关重要。
近日,上海天文台郝蕾研究员领导的研究团组在尘埃与星系演化、恒星形成之间关系的研究领域有了新进展。他们利用斯隆数字化巡天第四期(SDSS-IV)子项目MaNGA积分光谱巡天的数据,发现尘埃消光越强的区域,在单位面积上每年诞生的恒星质量更高,即恒星形成率的面密度越高。同时他们还发现这二者之间的相关性存在一定的弥散,且依赖于其它参数。目前该工作已经发表在《天体物理杂志》(ApJ)上,这也是上海天文台作为SDSS-IV的正式成员发表的又一篇科研工作。据介绍,SDSS是迄今为止最大规模的星系图像和光谱巡天项目。

图1:MaNGA观测的其中一个星系的图像,图片来源:MaNGA Marvin
“我们上海天文台为SDSS-IV的MaNGA巡天项目书的撰写做出了重要贡献,因此也成为首批受邀参与合作的研究所。”郝蕾研究员介绍,“我们这次就利用了MaNGA积分视场光谱巡天的数据。”
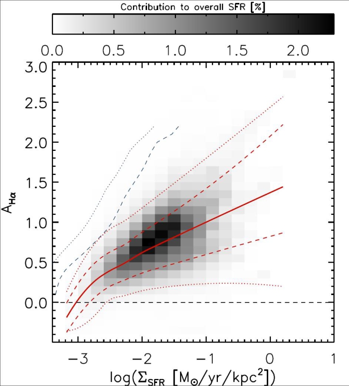
他们分析了可空间分辨的恒星形成率的面密度(单位面积上每年诞生的恒星质量)和尘埃消光(反应尘埃对光的吸收效应强弱)之间的关系,发现存在如图2所示的经验关系。

图2:MaNGA中977个星系中586459个像素上的尘埃消光参数A(Hα)和恒星形成率的面密度∑SFR 之间关系。图片来源:Li et al. 2019
“图中黑色部分是观测数据,可以看出二者之间的关系并不是很紧密,而是存在一定的弥散,也就是说在同一个∑SFR值的区域,具有的尘埃消光可以有明显的变化。”郝蕾研究员介绍,这就引出了一个问题,A(Hα) - ∑SFR关系上的弥散是随机的,还是源于其它参数呢?
对此,他们研究了这个经验关系的弥散并发现,对于具有同样的恒星形成率的面密度∑SFR的区域,尘埃消光较高的那些位置,具有更高含量的重元素。除此之外,他们还发现,在∑SFR相似的区域,尘埃消光越高的那些位置,相对于已经形成的恒星总质量,正在诞生的恒星质量占比更高。
工作的第一作者、上海天文台的博士研究生李欢表示,这些发现证明了围绕在该关系上的弥散并不是随机的,而是依赖于第二参数。
他们为此提出了一个简单模型来解释,该模型预测出一部分消光现象是由弥散尘埃导致,这些弥散尘埃大约占尘埃总量的12%;其余的消光现象由与恒星完全混合在一起的团块状尘埃造成。郝蕾研究员说:“通过将尘埃、气体与相关的尘埃几何形态相联系,很好地理解和解释了观测上看到的近似于线性的经验关系,对于理解星系的演化有很重要的意义。”
科研论文链接:http://ads.bao.ac.cn/abs/2019ApJ...872...63L
科学联系人:
李欢,中国科学院上海天文台,lihuan@shao.ac.cn
郝蕾,中国科学院上海天文台,haol@shao.ac.cn
新闻联系人:
左文文,中国科学院上海天文台,wenwenzuo@shao.ac.cn
附件下载:

