想进天文台,得先答对题?然而真相是……
近天,天文爱好者群里传出一张图,图上大致意思为,现在处于疫情的非常时期,要想进天文台,必须先答对一道题。

后经核实,此图并非上海天文台官方的通知,而是某天文爱好者“PS”的。该爱好者表示,作此图仅供娱乐,仅仅让宅在家里的各位一起解解天文题。
小编看了这道题后,发现其实并不难,有高中物理知识的天文爱好者足以解答。那么我们就一起来看看怎么解吧。
题目中说,有一颗行星围绕一颗恒星公转,公转速度为20km/s,恒星的质量和太阳相当。整个行星系统离地球10光年,问这颗行星和恒星之间的最大张角是多少?

要想知道张角,我们只需知道这颗行星与恒星之间的距离,也就是图中的d,再结合已知的行星系统离地球的距离10光年,便可用反三角函数解出张角,也就是图中的θ。公式如下:

那么,我们怎么求得这个d呢?题中给了该行星的公转速度和恒星质量,我们根据高中学的万有引力定律和向心力公式便可求解。
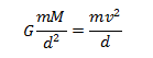
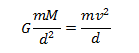
假设该行星轨道为圆轨道,要使行星稳定地公转,就必须让行星所受的引力与维持公转所需要的向心力相等。即:

其中G为引力常数,m为行星质量,M为恒星质量,v为公转速度。整理一下,得:

题中说恒星质量和太阳相当,那么我们只需查询引力常数G和太阳的质量M,便可得出距离d了。
不过,我们其实有更简便的方法。对于大多数天文爱好者来说,日地距离1.5亿km和地球的公转速度30km/s已经是常识,我们可以根据这两个物理量解出GM,
即:
整理一下,得:

然后我们可以非常轻松地算出行星与恒星距离d为3.4亿km,最后用三角函数,算出最大张角θ为
,换算成角度制为7.4秒。
瞧,小编没骗你吧?这道题其实完全是可以用高中的知识算出来的。而实际上,只要我们多留心很多天文问题都可以用高中阶段的数学物理知识进行解答。
当然,在疫情的非常时期,我们也不赞成过度娱乐化。疫情当前,上海天文台上上下下同心协力为抗击疫情的传播努力着。我们希望疫情早日得到控制,我们国家的科学事业在各个方面都能在新一年中上一个新的台阶。
为武汉加油!为湖北加油!为中国加油!
附件下载:

